英文名 C12-200
CAS号 1220890-25-4
分子量 1136.93
分子式 C70H145N5O5
状态:固体/粉末/溶液
保存:冷藏
供应:西安齐岳生物科技有限公司

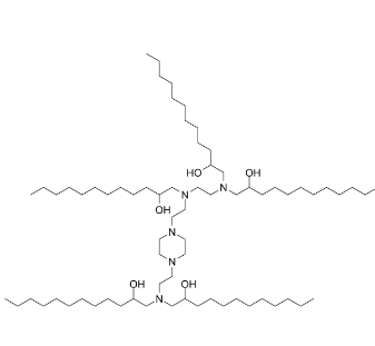
1. 基本信息与结构特性
C12-200 是一种可电离阳离子脂质,结构特点为:
疏水侧链:多个十二碳(C12)烷基,有助于形成脂质体或纳米粒结构;
多胺骨架:中心含多胺基团,可在酸性条件下带正电,与核酸结合;
羟基:为进一步化学修饰提供可能位点。
这种结构使 C12-200 在不同 pH 条件下能改变电荷状态,有利于核酸递送。
2. 物理化学性质
外观:液体或浅黄色液体;
溶解性:可溶于极性有机溶剂,如 DMSO、乙醇或 DMF;
储存:低温保存(约 -20°C)可维持稳定性;
安全性:实验室使用需佩戴防护装备,遵守安全规范。
3. 应用功能
核酸载体:用于脂质纳米粒(LNP)制备,可与 mRNA、siRNA、saRNA 等核酸形成复合物,实现高效递送;
pH 依赖性电荷调控:中性 pH 下较少带电,酸性环境下带正电,增强 endosomal escape,提高细胞内递送效率;
研究价值:在动物模型中,C12-200 可帮助 LNP 成功递送核酸并实现蛋白表达,是基因治疗与疫苗递送研究的重要工具。
4. 应用领域
mRNA 和 siRNA 疫苗递送研究;
基因治疗和基因递送系统优化;
脂质纳米粒(LNP)制备和功能化;
细胞转染实验及体外测试。
关于我们:
西安齐岳生物科技有限公司是一家从事原料药、MOF,离子液体 ,PEG衍生物、科研试剂、多肽、光电材料、碳纳米管、纳米材料、脂质体、合成磷脂的研发、定制合成、生产和销售的高科技生物科技有限公司
相关推荐:
4ARM-PEG-OTs
Methoxy-buta-Acetal
mPEG-hyd-DHA
CHO-PEG-Chondroitin sulfate
mPEG-CH2CH2CH2-NH2
mPEG-butyraldehyde
mPEG-Dendritic Azide
VA-PEG-Acetylthio
mPEG-(2-methyl-pALD)
mPEG-Histidine
mPEG-Dendritic Azide
4ARM-PEG-OTs
甲氧基-聚乙二醇-苯基,mPEG-PH
mPEG-BFA
甲氧基聚乙二醇-S-乙酰基,mPEG-TA
mPEG-NH-SA-OC30




齐岳微信公众号
官方微信
库存查询