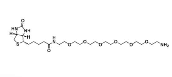
Biotin-PEG7-Amine,生物素-七乙二醇-氨基,CAS:1334172-76-7
描述:Biotin-PEG7-amine 是一种 PROTAC linker,属于PEG类。可用于合成 PROTAC 分子。
中文名称:生物素-七乙二醇-氨基
英文名称:Biotin-PEG7-amine
别称:N-(23-氨基-3,6,9,12,15,18,21-七氧杂十三烷基)-5-((3aS,4S,6aR)-2-氧代六氢-1H-噻吩并[3,4-d]咪唑-4-基)戊酰胺
CAS:1334172-76-7
密度:1.151±0.06 g/cm3
沸点:785.9±60.0 °C
分子式:C26H50N4O9S
分子量:594.7616
储存条件:-20°C

用途:科研
状态:固体/粉末/溶液
保存:冷藏
西安齐岳生物供应的单分散 PEG linkers类还包括Amino-PEG4-amine,Aminoxy-PEG,PEG4-azide,Amino-PEG4-COOtBu,PEG4-Propargyl,Bis-PEG4-NHS ester,NH5-PEG4-OH,OH-PEG4-COOtBu,mPEG4-NH11,Bromo-PEG,Aldehyde-PEG,COOH-PEG4-COOtBu等
相关产品:
CY3-PEG-阿霉素
Cyanine3-PEG-Doxorubicin
顺铂-聚乙二醇-CY3
CY3-PEG-顺铂
Cyanine3-PEG-cisplatin
CY3-聚乙二醇-RGD
CY3-PEG-RGD
多肽-聚乙二醇-CY3
CY3-聚乙二醇-cRGD
CY3-PEG-细胞穿膜肽
CY5-PEG-carboxyl
羧酸-聚乙二醇-CY5
Cyanine5-PEG-carboxyl
Cyanine5-PEG-Maleimide
N-羟基琥珀酰亚胺-聚乙二醇-CY5
温馨提醒:仅供科研,不能用于人体实验AXC.2023.09.20




齐岳微信公众号
官方微信
库存查询