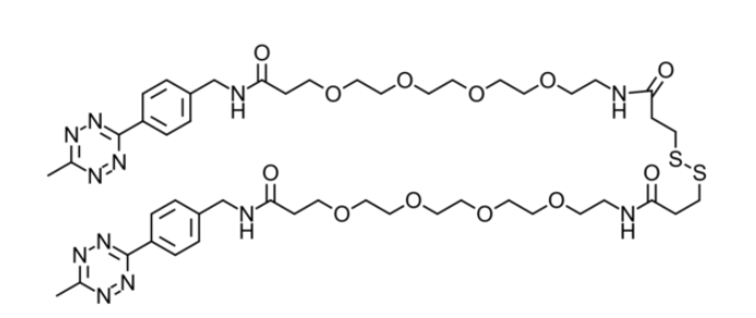
Methyltetrazine-PEG4-SS-PEG4-methyltetrazine
产品描述:可裂解的异双功能连接子,包含用于反向电子需求Diels-Alder环加成反应的甲基四嗪部分和NHS活化的酯。动力学和选择性使两种低丰度生物聚合物能够在水性或其他复杂化学环境中偶联。这种生物正交反应具有出色的选择性和生物相容性,因此互补配偶体可以在功能丰富的生物系统(在某些情况下为活生物体)中相互反应。
分子式:C48H70N12O12S2
分子量:1071.28
物理形式:红油
溶解度:MeOH,DMF和DMSO
储存在:-20 °
产地:西安
纯度:99%
用途:仅用于科研
温馨提示:仅用于科研,不能用于人体实验!

我们的产品优势:
1.单分散PEGs链接各种不同基团,多种官能团修饰,提供所需反应的多个活性位点;
2.纯度在95%以上;
3. PEG个数从1个到24个不等都可以提供;
4.规格100mg, 500mg, 1 克和大包装;
5.接受各种复杂单分散PEGs定制服务,合成多种官能团修饰的单分散PEGs及不同数量的PEG的产品。
6.提供核磁图谱及相关质量证明图谱;
7.可以提供分子量和平均分子量产品。
相关产品
Tetrazine-PEG5-tetrazine
Tetrazine-PEG4-aldehyde
Tetrazine-PEG6-amine HCl
Methyltetrazine-PEG4-amine HCl
Tetrazine-PEG4-amine HCl salt
Tetrazine-C5-NHS
Tetrazine-PEG4-alkyne
Methyltetrazine-PEG4-SSPy
Methyltetrazine-PEG4-biotin
Tetrazine-PEG9-NHS
Tetrazine-PEG5-NHS CAS:1682653-80-0
Methyltetrazine amine CAS:1345955-28-3
Tetrazine-PEG4-biotin
Methyltetrazine-PEG6-Mal
Methyltetrazine-PEG4-SS-NHS
Tetrazine-PEG4-SS-NHS
Methyltetrazine-SS-NHS
Tetrazine-SS-NHS
5-FAM-PEG4-Tetrazine
Methyltetrazine-BODIPY
以上产品仅用于科研,不能用于人体实验(ysl2022.4.12)




齐岳微信公众号
官方微信
库存查询