常用名 (2S)-2-[(4-Isothiocyanatophenyl)methyl]-1,4,7,10-tetraazacyclododecane-1,4,7,10-tetraacetamide
英文名 (2S)-2-[(4-Isothiocyanatophenyl)methyl]-1,4,7,10-tetraazacyclododecane-1,4,7,10-tetraacetamide
CAS号 2780352-89-6

分子量 547.68
密度 1.38±0.1 g/cm3(Temp: 20 °C; Press: 760 Torr)(Predicted)
沸点 882.6±65.0 °C(Predicted)
分子式 C24H37N9O4S
熔点 N/A
MSDS N/A
闪点 N/A
产品简介:
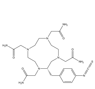
p-SCN-Bn-TCMC是一类功能化的四氮环化合物衍生物,其核心由TCMC(1,4,7,10-四氮环-1,4,7,10-四(羧甲基)环十二烷)骨架构成,通过苯基桥偶联异硫氰酸酯(–N=C=S)形成活性化学官能团。该结构使化合物同时具备金属离子螯合能力和化学偶联反应能力,可用于标记蛋白质、肽类或其他含氨基的分子,广泛应用于分子探针和成像研究中。
化学结构上,p-SCN-Bn-TCMC通过苯桥将TCMC环与异硫氰酸酯官能团连接,使DOTA类骨架在螯合金属离子时保持高稳定性,同时异硫氰酸酯提供高活性的共价结合位点。合成过程中通常采用保护基策略以确保羧酸官能团不受影响,同时保持异硫氰酸酯在偶联反应中的反应选择性。化合物在水溶液中稳定,易于操作,适合实验室和前期研究使用。
功能上,p-SCN-Bn-TCMC能够螯合多种金属离子,如钆、镓、铈等,形成稳定复合物。同时,其异硫氰酸酯基团在温和条件下与氨基发生共价结合,使化合物能够标记蛋白质或肽类分子。形成的配合物具有低解离率和良好化学稳定性,适合用于体外或体内的示踪实验。苯桥的存在增加了分子的空间稳定性,使偶联过程更具可控性。
此外,p-SCN-Bn-TCMC可进行进一步化学修饰。苯桥和TCMC环的多羧酸位点可用于引入荧光基团、放射性核素或其他功能分子,实现多模态标记。化合物水溶性良好,可通过水溶液制备不同浓度的实验用溶液,同时具有较高的化学操作灵活性。
总体来看,p-SCN-Bn-TCMC是一类集稳定金属螯合与化学偶联功能于一体的化合物。其稳定的TCMC环、苯桥及异硫氰酸酯基团为分子探针开发、金属配合物制备及分子标记提供了可靠的化学基础,同时为实验操作和多功能修饰提供了便利条件。
来源产地:
本产品由陕西省西安市生产,品质可靠,可满足科研实验的需求
包装规格:
提供多种规格选择,瓶装包装灵活,用户可根据实验需求选择 50 mg、100 mg、250 mg 或 500 mg
产品形态:
可提供固体、粉末及溶液形式,适应不同实验操作需求
储存说明:
建议置于低温冷藏环境,避免光照和潮湿,以保持产品活性与性能稳定
品牌介绍:
西安齐岳生物科技有限公司专注于科研药物传递及纳米靶向技术的研发和生产。公司产品涵盖合成磷脂、PEG 系列衍生物、嵌段共聚物、纳米金属及磁性纳米颗粒、介孔二氧化硅、活性荧光染料、荧光量子点、点击化学试剂及大环配体等多个领域。秉持创新理念,致力于为国内科研机构和相关单位提供高质量科研试剂,支持科学研究的顺利开展。
(内容整理:小编kx,仅供科研用途)
产品推荐:
1293368-76-9
1293368-74-7
螯合物前体肽,1306310-00-8
DOTA-E「cyclo(RGDfK)2」
七肽DOTA-VLASSAR,1262403-90-6
1262403-91-7,螯合物前体肽
七肽Z-GGRDOTA,1180007-00-4
901444-63-1




齐岳微信公众号
官方微信
库存查询