英文名 p-SCN-Bn-TCMC
CAS号 2780352-89-6
分子量 547.68
密度 1.38±0.1 g/cm3(Temp: 20 °C; Press: 760 Torr)(Predicted)
沸点 882.6±65.0 °C(Predicted)
分子式 C24H37N9O4S
熔点 N/A

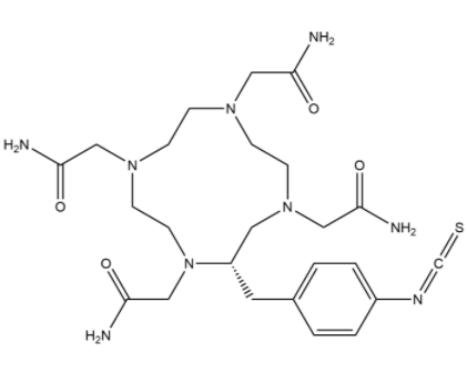
p-SCN-Bn-TCMC,全名为 p-isothiocyanatobenzyl-TriCarbamoylMethylCyclen,是一种功能化的多齿螯合配体,属于环状四齿氮配体衍生物。它由四氮环结构(Cyclen)衍生而来,每个氮原子通过羧甲基化修饰形成羧酰基,构成三羧酰甲基化环状结构,从而增强其对金属离子的络合能力。该化合物的苯基端带有 异硫氰酸基团(–N=C=S),使其可以通过共价方式与胺类化合物形成稳定的硫脲键,这一反应的高特异性和高效率使其在化学和材料科学中广泛应用。
化学结构上,p-SCN-Bn-TCMC 的特点是:
四齿氮环结构(Cyclen):提供稳定的螯合环境,可与多种过渡金属和放射性金属形成高度稳定的配合物。
三羧甲基修饰:增强了配体的水溶性和螯合能力,同时通过羧基调节金属配位几何和稳定性。
p-异硫氰酸苯基:提供可用于生物大分子修饰的活性位点,可与含氨基的分子(如蛋白质、肽链、核酸修饰片段)进行共价连接。
在化学应用方面,p-SCN-Bn-TCMC 常被用于:
功能化配体制备:通过其异硫氰酸基,可将 TCMC 骨架固定到多种有机分子或高分子支架上,为进一步配位金属离子提供反应性位点。
金属配位化学:TCMC 骨架对金属离子的络合能力较强,尤其适合与稀土金属、过渡金属及一些放射性金属形成高稳定性复合物。
表面化学改性:通过硫脲键与载体表面的氨基共价结合,可制备功能化表面材料、传感器界面或配体修饰纳米颗粒。
相关推荐:
AF532标记小麦胚芽凝集素(WGA)
AF532 mal,AF532 马来酰亚胺
AF488 WGA,AF488标记小麦胚芽凝集素
AF488 WGA,Alexa Fluor WGA
Annexin V-AF488标记
AF488标记链霉亲和素偶联物
鬼笔环肽-AF488标记
AF488 TCO,AF488 反式环辛烯
AF488 醛,Alexa Fluor 488 醛
AF488-标记羊抗鼠免疫球蛋白(H+L)




齐岳微信公众号
官方微信
库存查询